发布时间:2025-04-30 15:42 文字大小: [ 大 中 小 ] 浏览次数:
居民身份证受理点
为更好满足2025年五一期间
群众办理居民身份证服务需求
性爱论坛公安延续
“窗口不打烊、服务不缺位”承诺
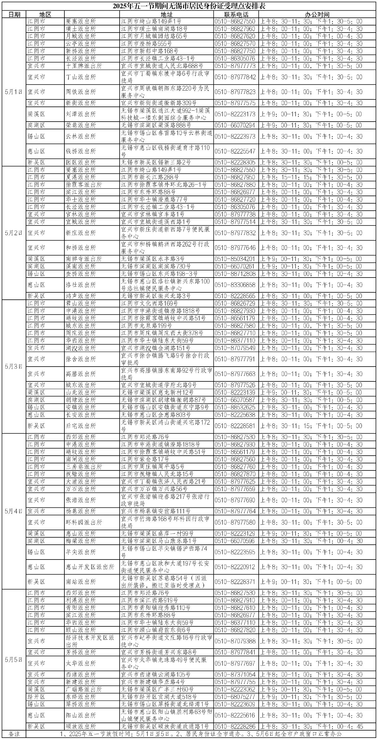
5月1日至5日,各市(县)、区公安户籍窗口开设居民身份证受理点正常办理业务。
5月6日起,全市各居民身份证窗口正常办公。
居民身份证实行全市通办,即全市所有公安户籍窗口均可办理居民身份证业务。
2025年五一节期间
性爱论坛居民身份证受理点安排表

出入境窗口

来源:性爱论坛公安微警务
当前位置:













